(딥러닝을 위한)기타 수학
벡터의 특징
문학적 딥러닝
2024. 11. 16. 21:38
선형대수학이나 딥러닝을 공부할 때, 벡터는 필수 불가결한 개념이다.
그만큼 어떤 서적, 어떤 강의를 들어도 벡터를 복습하는 단계가 항상있는데, 벡터를 활용한 공식이나, 계산 방정식 같은것을 많이 접하게 되지만, 정작 벡터의 특징을 놓치는 경우가 많았다.
1. 벡터는 그 자체로도 의미가 있다

그림을 잘 못 그리긴 했지만, 벡터를 사용해서 무엇가 구체적인 숫자를 만들어야 한다는 생각에 자주 빠졌다. 하지만, 벡터는 그 자체로도 의미가 있는 녀석이다. 컴퓨터가 어떠한 의미를 표현하는 숫자가 될 수도 있고(워드 임베딩이 대표적인 예이다), 벡터 내의 숫자들의 합이 1일 경우, 이를 확률 분포를 나타낸 것이라고 바라보는 경우도 적지 않다.
2. 벡터와 벡터는 곧바로 곱셈과 나눗셈이 성립하지 않는다.

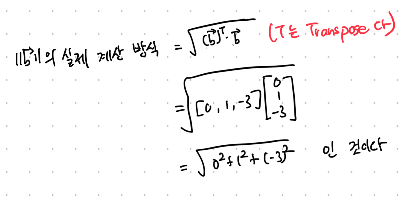
벡터의 값을 나타내는 대표적인 계산식인데(거의 공식으로 외우고 있는), 우선 이것은 벡터 b(벡터는 볼드체로 많이 표기한다)를 그냥 두번 곱하는것은 아니다.

실제로는 이렇게 Transpose(전치)를 취하고 곱셈을 진행하는 것이다. 따라서 그냥 벡터 제곱이라고 적혀 있는 것은 이것에 대해 부연 설명을 할 것이다. 나눗셈도 똑같은데, 실제로 이걸 손으로 풀어보는 일은 거의 없기에, 나도 해본적은 없다. 다만, 여기서 저 성질을 기억하는 것은 중요하다.
따라서 그냥 곱해서 더하는 것 같은데? 하는 것들은 "내적"이라고 다르게 부르는 이유가 있는 것이다.