(딥러닝을 위한)확률과 통계/다양한 확률 분포
(이산분포-6) 초기하 분포
문학적 딥러닝
2024. 11. 23. 18:03
p(x) 정의: 우리가 뽑은 표본 안에, 우리가 원하는 원소가 x개 들어 있을 확률 분포

초기하 분포의 식은 다른 분포들과 다르게 조합(C)로 표현된다.

기대값은 다음과 같이 구한다

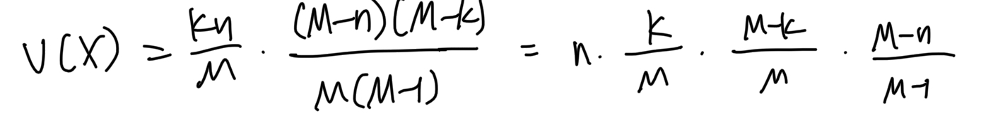
그리고 분산의 계산식은 또 너무 길다. 결론만 하자면, 다음과 같다.

https://youtu.be/C2FJ6d50FZg?feature=shared